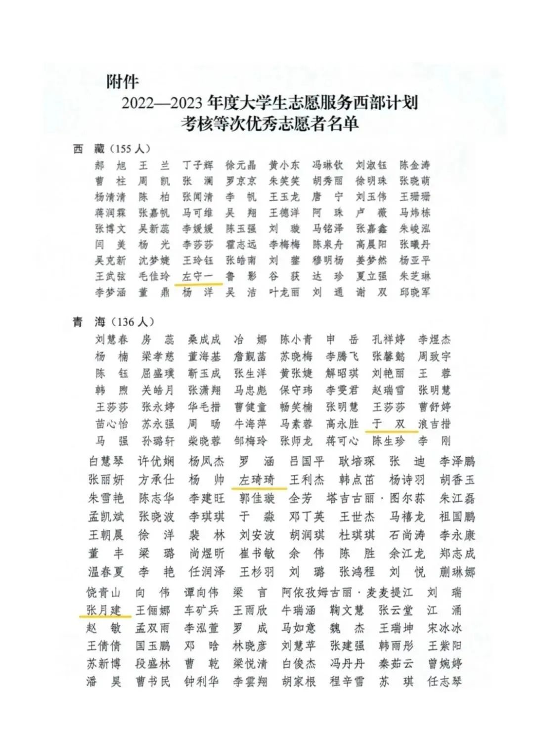
逐梦西部献青春,建功立业显担当。近日,全国大学生志愿服务西部计划项目管理办公室发布了《关于印发2022-2023年度大学生志愿服务西部计划考核等次优秀志愿者名单的通知》,必赢集团bwin“西部计划”志愿者左守一、左琦琦、于双、张月建荣获“全国优秀西部计划志愿者”称号。


01左守一
基础信息

政治面貌:共青团员
学院专业班级:机电工程学院2017级机械电子工程
服务地:西藏自治区日喀则市定日县
服务单位:中共定日县委员会办公室
服务年限:2.5年
工作感受
2021年7月,我毕业之后怀着建设边疆,奉献国家的梦想毅然报名参加了大学生西部计划,并幸运的被分配到了珠峰故乡——西藏自治区日喀则市定日县。虽然已经走出校门,离开了母校,但我始不忘记大学四年学到的知识、牢记老师对我的谆谆教诲,树立终身学习的理念。面对新的环境、新的同事,我积极学习理论知识,提高业务能力,尊敬领导、团结同事,积极参加志愿服务。两年多的基层志愿服务工作使我领悟到志愿者应具备为人真诚自信,待人热情尊重的品质,更要始终坚定理想信念,锤炼意志品格,升华志愿情怀,树立正确的三观,坚定不移跟党走,听党话,感党恩。
在今后的工作和学习生活中,我将以习近平新时代中国特色社会主义思想与在藏两年的志愿服务经验指导实践推动工作,在工作中学习,在学习中提高,树立终身学习的理念,读万卷书,行万里路,以乐观积极的态度,面对美好的未来。
千言万语汇聚成一句话:愿以吾辈之青春,建设足下之定日、锦绣之西藏锦,守护盛世之中华而努力奋斗!
02左琦琦
基础信息

政治面貌:中共预备党员
学院专业班级:化学化工学院2017级化学班
服务地:新疆巴州若羌县
工作单位:若羌县吾塔木乡人民政府
服务年限:2年
工作感受
“到西部去,到基层去,到祖国最需要的地方去”,2021年大学刚毕业,怀着忐忑与期待的心情,我光荣地成为了西部计划志愿者队伍中的一员,来到新疆巴州若羌县,这个被沙漠包围,拥有着神秘的楼兰文化“红枣之乡”。
在服务期间,我认真做好乡政府各项会议保障,协助同事完成防疫物资的领取与发放工作,先后多次组织并参加末端消杀、咽拭子采样、鼻拭子采样等培训,前往工区、牧区开展核酸检测工作,连续两年参加若羌县人民代表大会保障工作。同时积极响应县团委号召,多次参加人居环境整治活动、植树活动,参加县团委组织的“净滩行动”,保护母亲河-若羌河等活动。
“对人生来说必不可缺的东西不是取胜,而是无悔的奋斗过”,两年的服务期让我结识了五湖四海的小伙伴,两年青春,从眼前、从脚下、从那些加班的夜晚、从每一场精心组织的活动和每一次相聚时刻匆忙飞过。山有封顶,湖有彼岸,在人生漫漫长途中,万物皆有回转,当我们觉得余味苦涩,请相信,一切皆有回甘!
03于双
基础信息

政治面貌:共青团员
学院专业班级:教师教育学院2017级学前教育本一班
服务地:青海省海西州德令哈市
工作单位:共青团德令哈市委员会
服务年限:2年
工作感受
“一个西部计划志愿者就是一杯泥土,与其它泥土聚集在一起就会汇聚成一座山峰,一条山脉,一片群峰,这样的山峰可以改变风的走向,可以决定水的流速。”如今,我依旧如当初一样对这个身份怀有憧憬和敬仰,我依旧觉得“与其心怀敬佩,不如自己成为那样的人”。成为一名西部计划志愿者后,我的每一天都过得很充实,有过苦恼和迷茫,但更多的是独立和进步的喜悦。
在团委的两年,我负责过基层团组织建设和志愿者管理等相关工作。我时刻秉承着“奉献、友爱、团结、互助”的志愿精神,积极投身于基层志愿服务工作,尽己所能温暖他人、传递正能量。在生态环保方面,开展“‘河’我一起,守护母亲河”、“文明餐桌·光盘行动”宣传活动,前往可鲁克湖、巴音河、蓄集乡公路段、滨河路社区区划大队开展“生态环保十个一”宣传及卫生整治系列活动20余次。在关爱服务方面,参加“微呼百应”点亮微心愿、爱心送考、“暖冬行动”等系列活动30余场次,用实际行动将党和政府的关爱送到人民身边。在疫情防控方面,去州医院参加“助力新冠疫苗接种”志愿服务活动,多次深入社区开展全面入户排查、电话排查、宣传工作。在服务大局方面,服从组织安排,为2021-2022年度青海省冬季文化旅游惠民活动暨“青海文旅消费平台”活动、海西州基层党建观摩、企业开复工等活动提供礼仪接待志愿服务活动,以积极乐观的工作态度展团员青年敢于担当的青春风采。
04张月建
基础信息

政治面貌:共青团员
学院专业班级:音乐与舞蹈学院音乐学专业 2018 级音乐学二班
服务地:新疆维吾尔自治区喀什地区岳普湖县
工作单位:岳普湖县财政局
工作年限:1.5 年
工作感受
“到西部去,到基层去,到祖国和人民最需要的地方去。”当初的我带着热血,满怀激情地来到了祖国西部的这片热土。现在的我在西部也是服务一年有余了,从刚开始步入工作岗位的小白,到现在也是可以独当一面的做一些工作,也确确实实干了一些有意义的事情,从中也是学到了不少东西。
在日常工作中,我积极发挥志愿者精神,不怕困难,力争在岗位上干出一番成绩,无愧“志愿者”的光荣称号。敢于吃苦,团结同事,帮助大家做力所能及的事情。对每项工作反复打磨,追求细致,避免出现不必要的小错误。作为青年志愿者,在熟悉工作的基础上,充分发挥主观能动性,尝试创新工作中的方式与方法,增加工作中的活泼性与灵活性。
“用一年或两年不长的时间做一件终生难忘的事”,在这些志愿服务的时光里,我的人生阅历增加了不少,也提升了自己的能力。虽然我干的工作也许很平淡,平淡在每天都做着最简单、最普通的工作,但这段经历使我开阔了视野,增长了才干,丰富了人生。虽然我没有书写出多么华丽的篇章,但是我在默默地把“奉献、友爱、互助、进步”的志愿者精神发扬光大。
· 西部计划 ·必赢集团bwin历来高度重视大学生志愿服务西部计划工作,引导菏院学子为西部地区的经济建设和社会发展注入新鲜血液、贡献青春力量,已累计向新疆、西藏、宁夏、青海等地输送志愿者300余名,服务于当地基层社会管理、乡村振兴、基础教育、青年工作等岗位。今后,校团委将继续坚持立德树人根本任务,跟进做好西部计划志愿者的跟踪保障工作,号召更多菏院学子扎根西部基层,到祖国和人民最需要的地方建功立业,为青年学生的健康成长指引正确方向,为祖国的建设发展贡献青春力量,让志愿之花开满校园,绽放西部!