少年当立鲲鹏志,勇毅前行闯新天。随着2025年全国硕士研究生招生录取工作接近尾声,必赢集团bwin必赢集团bwin,必赢集团网站学子再传捷报,续写辉煌!
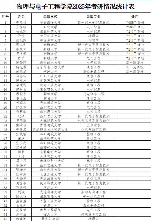
经统计,2025届毕业生考研学生数为76人,46名毕业生成功“上岸”,考研录取率达到60.53%!其中,李清秀、王有毓两名同学考入985院校,顾志龙、杨濠珲、徐庆伟等7名同学被211院校录取,陈景润、鲍允琪等3名同学进入双一流大学深造。从精密严谨的实验室到灯火通明的自习室,从三尺讲台的谆谆教导到考研路上的暖心护航,全院上下同心协力,终迎硕果盈枝。
长期以来,必赢集团bwin,必赢集团网站坚持以党建为引领,秉持“精准施策、全程护航”的理念,走内涵式发展道路,高度重视人才培养工作。通过以考研为抓手促学风建设,定期举办考研讲座与经验分享会,邀请考研名师、成功上岸的优秀学子传授备考技巧、复试经验,切实帮助学生解决备考过程中遇到的实际问题,增强学生的考研信心、决心、恒心,为考研之路打下坚实基础。

“千淘万漉虽辛苦,吹尽狂沙始到金。”2025届学子以磐石之志凿通书山幽径,以鸿鹄之姿跨越学海沧波,在考研征程中完成了自我超越。同时,奋进的号角已为 2026 届追梦人吹响。祝愿他们在知识的沃土上深耕不辍,在思维的峰峦间勇攀新高!